• Research Article
  • |
  • Open Access

Bayesian Estimation for Modelling Respiratory Diseases-Related mortality and morbidity during COVID-19 Term Using Lorenz Curve and Gini-index Distribution

  • Abdulbari Bener1,2#;
    • 1 Departmet of Biostatistics and Public Health, School of Medicine, Istanbul Medipol University, İstanbul, Turkey.
      2 Department of Evidence for Population Health Unit, School of Epidemiology and Health Sciences, The University of Manchester, Manchester, UK.
      # These authors have been equally contributed to this article.
  • Funda Çatan inan3#;
    • 3 Department of Biostatistics & Medical Informatics, Faculty of Medicine, Bilecik Şeyh Edebali University, Bilecik, Turkey.

      # These authors have been equally contributed to this article.
  • Sümmani Alıç4;
    • 4Department of Social Research Directorate, TÜİK İstanbul Regional Directorate, İstanbul, Turkey.
  • Corresponding Author(s): Abdulbari Bener

  • Department of Biostatistics and Public Health, School of Medicine, Istanbul Medipol University, İstanbul, Turkey.
    Tel: +90-535-663-9090;

  • abdulbari.bener@istanbul.edu.tr

  • Bener A (2026).

  • This Article is distributed under the terms of Creative Commons Attribution 4.0 International License

Received : Jan 02, 2026
Accepted : Feb 02, 2026
Published Online : Online: Feb 09, 2026
Journal : Annals of Cardiology and Vascular Medicine
Publisher : MedDocs Publishers LLC
Online edition : http://meddocsonline.org

Cite this article: Bener A, Çatan inan F, Alıç S. Bayesian Estimation for Modelling Respiratory Diseases-Related mortality and morbidity during COVID-19 Term Using Lorenz Curve and Gini-index Distribution. Ann Cardiol Vasc Med. 2026; 9(1): 1091.

Abstract

Background: Respiratory diseases are a leading cause of morbidity and mortality worldwide, particularly during the COVID-19 pandemic.

Aim: The aim of this study is to examine respiratory disease-related to morbidity and mortality in Turkey during the COVID-19 pandemic (2020 and 2021), with a particular emphasis on gender and age group disparities

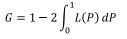
Statistical method: Bayesian estimation was applied to analyze respiratory disease-related mortality rates, focusing on both gender and age group differences. Lorenz curves for the age specific rates were constructed to visualize inequality by plotting cumulative proportions of respiratory diseases deaths against cumulative population proportions.

Application: During 2020-2021 in Turkey, a total of 341,467 patients were treated for respiratory diseases. Among them, 195,413 were females, and 146,054 were males. Of these patients, 155,211 deaths were recorded, including 88,824 males and 66,387 females. The data was analyzed to determine whether being female was an independent predictor of poor prognosis.

Results: Across all age groups, posterior means for mortality rates (θ) were consistently higher in males compared to females. The Gini index for males (G=0.568) suggests moderate inequality in the distribution of mortality rates across age groups. The Lorenz curve shows that mortality is more concentrated in specific age groups, particularly among older males. The Gini index for females (G=0.575) is slightly higher, but the Lorenz curve suggests a more even distribution of mortality rates across age groups. Gini indices for males (0.573) and females (0.571) morbidity confirm this similarity, meanwhile with the slightly higher males Gini suggesting marginally greater age-related morbidity inequality and vulnerability.

Conclusion: Bayesian modeling and inequality metrics emphasize the need for targeted, gender-sensitive interventions and equitable healthcare access to reduce these disparities and improve outcomes.

Keywords: Bayesian; Markov chain and monte carlo (MCMC); Morbidity; Mortality; COVID-19; Lorenz curve; Gini index.

Introduction

Respiratory diseases have long been a significant public health concern, ranking among the leading causes of morbidity and mortality globally. The COVID-19 pandemic has further amplified their impact, particularly by disproportionately affecting vulnerable populations across various demographic groups. Understanding the demographic disparities in mortality rates, particularly across genders and age groups, is essential for creating equitable and effective public health strategies [18]. Evidence has consistently shown that male patients experience higher mortality rates and more severe outcomes compared to females, with this disparity being most pronounced among older age groups [14]. Gender-based disparities in immune response, hormonal influences, and comorbidities have been posited as contributing factors to the observed male predominance in mortality [16]. Similarly, age-specific disparities are linked to the increasing vulnerability of older adults due to immune senescence and the presence of comorbid conditions [4]. In Turkey, these patterns mirror the significant strain placed on healthcare systems during the pandemic, making it imperative to analyze gender and age-based differences in respiratory disease-related mortality.

This study employs a Bayesian estimation approach to model age-specific and gender-specific mortality rates for respiratory diseases during the pandemic. Bayesian methods are particularly suited for analyzing mortality rates due to their ability to incorporate prior knowledge and provide robust estimates even with complex data structures [8]. Specifically, a Beta distribution-based Bayesian model is used to estimate mortality rates, building on prior work that demonstrates the method’s flexibility and precision [9,1-3]. By employing Bayesian statistical methods, the study provides more flexible and robust modeling of mortality rates compared to traditional methods. This methodology ensures reliable estimates, especially in complex datasets with demographic variations. This approach can serve as a reference for future research on demographic disparities [4].

Furthermore, Lorenz curves and Gini indices are utilized to quantify and visualize the inequality in mortality distribution across age groups [1-3,11]. This analytical framework provides a comprehensive understanding of how respiratory diseaserelated mortality is distributed within the Turkish population during the pandemic and identifies demographic groups at the greatest risk

The aim of this study is to examine respiratory disease-related mortality in Turkey during the COVID-19 pandemic (2020 and 2021), with a particular emphasis on gender and age group disparities.

Methodology

This study proposes a Bayesian model based on the Beta distribution to estimate respiratory diseases-related mortality rates across different age groups during the COVID-19 pandemic. The methodology combines probabilistic modeling of agegroup-specific mortality rates using the Beta-Binomial framework, followed by an analysis of inequality in mortality rates using the Lorenz curve and Gini index distribution.

Bayesian model

A Bayesian model based on the Beta distribution is often used to estimate probabilities. This makes it particularly useful in modeling scenarios where the parameter of interest is a proportion. In cases where the parameter of interest, θ, represents a probability, the Beta distribution is an appropriate prior due to its flexibility and conjugacy with the Binomial likelihood.

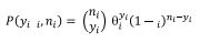
The number of deaths, yi for each population group is modeled using a Binomial distribution: yi ∼ Binomial (ni , θi ),

where ni is the total population of the i-th group and θi is the mortality rate.

The Binomial likelihood function is expressed as:

...

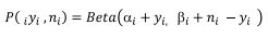
The prior distribution for θi , the probability of death due to respiratory diseases, is modeled using the Beta distribution:

θi ∼ Beta (αi , βi)

where

αi : Prior successes, reflecting prior knowledge about deaths due to respiratory diseases.

βi: Prior failures, reflecting prior knowledge about survivors in the population.

Using Bayes’ theorem, the posterior distribution for θi is proportional to the product of the prior and the likelihood [8,10]:

...

This posterior distribution reflects updated beliefs about age-specific mortality rates after observing the data.

Lorenz curve and gini index

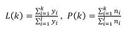
Lorenz curve is a widely used and practical method for modelling mortality rates of a disease [1,10,11]. The Lorenz curve is used to assess the inequality in respiratory disease-related mortality rates across age groups in this study. The cumulative proportion of deaths and the cumulative proportion of the population are calculated:

...

where L(k) is the cumulative proportion of deaths up to the k-th age group, and P(k) is the cumulative proportion of the population (Cowell 2011).

The Gini index is derived from the Lorenz curve to quantify inequality in mortality rates:

...

In practice, this is approximated using numerical integration or the trapezoidal rule based on discrete data points:

...

where Lk and Pk are the Lorenz curve values and population proportions at the k-th age group (Cowell 2011).

• G=0 indicates perfect equality (all age groups have identical mortality rates),

• G=1 indicates maximum inequality

Sathar and Jeevanand (2009), Fellman (2012) have discussed the Bayesian estimation of the Lorenz curve and Gini-index of the Pareto and exponential distributions respectively.

Subjects and statistical analysis

Data included age, population size, number of cases and death, death rate due to respiratory diseases and incidence of respiratory diseases. WinBUGS 1.4 was employed to perform Bayesian model and means of the joint posterior distribution represented parameter estimates. The Lorenz curve and Gini index were implemented using WinBUGS 1.4. The independent samples t-test was performed to test the significant differences between the means of two normally distributed continuous variables. SPSS 26.0 (SPSS Inc, Chicago, USA) were used to performed statistical analysis. p< 0.05 was accepted as statistical significance.

Results

Table 1 shows death, incidence, and prevalence rates of respiratory diseases among female and male patients. During 2020-2021 in Turkey, a total of 341,467 patients were treated for respiratory diseases. Among them, 195,413 were females, and 146,054 were males. Of these patients, 155,211 deaths were recorded, including 88,824 males and 66,387 females. When compared to female patients, male patients were significantly older; the mean age of females was 50.75±14.97 years, whereas that of the males was 53.50±15.91 years (p<0.001).

This Bayesian model estimates the respiratory diseases mortality rate (θi ) for each age group (Table 2). We modelled the respiratory diseases deaths in the i-th age group. Age group was as 15-24, 25-34, 35-44, 45-54, 55-64, 65-74, 75-84, 85+ years.

yi : observed number of respiratory diseases in the i-th age group

ni : Total population in the i-th age group

θi : The probability of a person in the i-th age group dying from respiratory diaseses

The likelihood function is modeled as a Binomial distribution:

yi ∼ Binomial (ni , θi )

For θi, we used a Beta distribution;

θi ∼ Beta (α, β)

The Beta distribution is appropriate for modelling probabilities (values between 0 and 1).

informative priors (α=1, β=1) were used as the starting point for θi . These values are constants and do not have variability (SE=0, SD=0).

The posterior distribution for θ, which is also a Beta distribution:

...

where α+X: updated α based on the cases, β+n-X: updated β based on the cases.

A square root transformation was applied to the posterior statistics to stabilize variance and reduce skewness. This preprocessing step ensures more robust parameter estimation and mitigates the influence of outliers, particularly in age groups with disproportionately high or low mortality rates.

In this study, Bayesian analysis was applied to understand the distribution of respiratory diseases across age groups and genders. Mortality rates are significantly higher in older age groups (e.g., 45+ years) compared to younger groups (e.g., 15– 24 years). Higher posterior means across all age groups suggest males are at a higher risk of mortality due to respiratory diseases. Mortality rates (θ) were consistently higher than females across all age groups, as reflected in higher posterior means. Mortality rates increase consistently with age, with the highest rates observed in older males age groups. The difference between male and female mortality rates is most evident in older age groups, underscoring the disproportionate impact of respiratory diseases on older males. Mortality rates in females were lower overall, but the credible intervals overlapped with those of males in some groups, suggesting potential shared risks or vulnerabilities.

Figure 1 presents the Lorenz curve and associated Gini indices of respiratory diseases mortality for age among male and female patients. The Lorenz curve and Gini index were calculated to quantify and visualize inequality in respiratory disease mortality across age groups for male and female patients. The Lorenz curve plots the cumulative share of age groups (x-axis) against the cumulative share of deaths (y-axis). In Figure 1, separate Lorenz curves were constructed for male and female patients. The blue line represents the cumulative share of deaths for males, while the red line represents females. Both curves deviate from the line of equality, reflecting inequality in the distribution of deaths across age groups. The curves reveal the degree of inequality in mortality distribution within each gender group. The closeness of the Lorenz curves for males and females suggests that the age distribution inequality is quite similar across genders, with females exhibiting slightly higher inequality. The curve for males bows moderately away from the line of perfect equality, indicating a noticeable but not extreme inequality in mortality distribution across age groups. Older age groups contribute a larger share of deaths. The curve for females closely resembles that of males, suggesting a similar pattern of mortality distribution. It also deviates moderately from the line of perfect equality. The Gini indices for males (0.568) and females (0.575) are very similar, suggesting that the patterns of inequality in mortality distribution are comparable across genders (Figure 1). However, the slightly higher Gini for females suggests marginally greater inequality, potentially indicating higher vulnerability in specific age groups.

Figure 2 shows Integrated Lorenz Curves of Incidence rates for males, females, and Total Patients. This figure describes Integrated Lorenz Curves for male, female, and total patient morbidity rates, highlighting inequality in age-based mortality distribution. The curves for both genders are similar, with males showing slightly more inequality. Both deviate moderately from the line of perfect equality, indicating that older age groups contribute more to deaths. Gini indices for males (0.573) and females (0.571) morbidity confirm this similarity, meanwhile with the slightly higher males Gini suggesting marginally greater agerelated morbidity inequality and vulnerability.

Figure 1: The Lorenz curve and associated Gini indices of respiratory diseases for age among male and female patients.

Figure 2: Integrated Lorenz Curves of morbidity incidence rates for males, Females, and total patients.

table 1 Table 1

Table 1: Deaths, incidence, prevalence rates of respiratory diseases among Turkish males and females with respect to age groups.

table 1 Table 2

Table 2: Summaries of the posterior distribution of the respiratory diseases’ deaths model

Discussion

This study highlights critical disparities in respiratory disease mortality across age groups and genders, underscoring the need for targeted public health interventions. Bayesian analysis revealed that mortality rates increase consistently with age, with significantly higher rates observed in males compared to females across all age groups. This aligns with existing literature demonstrating that males often face heightened risks due to biological, behavioral, and environmental factors that exacerbate vulnerabilities to respiratory diseases [5,14,16]. The pronounced difference in mortality between genders in older age groups further emphasizes the disproportionate burden faced by older males, likely influenced by compounded comorbidities, lifestyle factors, and access to healthcare, consistent with prior studies [12]. A possible explanation for the differences in mortality among men and women even though there are varied differences in baseline characteristics may be due to the presence of smoking habit [5] among men which are negligible in the female population of this culture.

The Lorenz curves and Gini indices provided valuable insights into the inequality of mortality distribution across age groups. Both male and female distributions deviate from the line of perfect equality, with older age groups contributing a disproportionately larger share of deaths. This finding aligns with prior studies showing that mortality from respiratory diseases is heavily concentrated among older populations, driven by age-related declines in immune function and the cumulative effects of chronic respiratory conditions [6]. The Gini indices for males (0.568) and females (0.575) indicate comparable levels of inequality, similarly for morbidity incidence rate as well, though the slightly higher Gini for females suggests marginally greater vulnerability in specific age groups, warranting further investigation into underlying socio-demographic and biological factors. These findings align with studies demonstrating the utility of Lorenz curves and Gini indices in assessing disease burden and inequality [1,3,11]. These findings align with research by Ngaruiya [13], who demonstrated the influence of socioeconomic disparities on mortality inequality, particularly in under-resourced communities. Additionally, Patel et al. [15] emphasized the role of healthcare access disparities in shaping gender-specific outcomes, further explaining the slightly higher inequality observed among females.

The closeness of Lorenz curves between genders suggests that while inequality in mortality distribution is similar, interventions must account for subtle differences, particularly the higher concentration of mortality among older males and specific female subpopulations. Public health strategies must prioritize early detection and management of respiratory diseases, especially among older adults, and address gender-specific risk factors to reduce mortality and inequality effectively. Future research should explore the role of socio-economic determinants and healthcare access in shaping these disparities.

Conclusion

This study reveals significant age and gender disparities in respiratory disease mortality, with older males at highest risk and females showing slightly greater inequality. Bayesian modeling and inequality metrics emphasize the need for targeted, gender-sensitive interventions and equitable healthcare access to reduce these disparities and improve outcomes. Researchers should use Bayesian insights to focus on high-risk groups and Lorenz insights to address inequality in resource allocation and healthcare interventions.

Acknowledgements

The authors would like to thank the Istanbul Medipol University for their support.

Ethical approval (Helsinki Declaration) and consent to participate

The Ethics Committee Approval given by the Istanbul Medipol University, Institutional Review Board in accordance with the principles of the Helsinki Declaration of 1964 (Research Protocol and IRB# 10840098-604.01.01-E.14180 and IRB# E-10840098-772.02-1411).

Availability of data and materials

The datasets used and/or analyzed during the current study are available from the corresponding author on reasonable request.

Competing interests

No conflict of interest was declared by the authors.

Financial disclosure

The authors declared that this study has received no financial support.

Funding

No funding was received for this work.

Authors’ contributions

AB and SA contributed to conception, design, organized study, collected data, performed statistical analysis and wrote the first draft of the article, and contributed to the interpretation of the data and writing, revised critically and approved final version of manuscript. FÇI and BA contributed to conception, design, wrote the first draft of the article, interpretation of analysis, writing revised critically and approved final version. All authors approved the final version.

References

  1. Noioso CM, Bevilacqua L, Acerra GM, et al. Miller Fisher syndrome: an updated narrative review. Front Neurol. 2023; 14: 1250774.
  2. Yang MC, Liu A. Surge of Miller Fisher variant and Guillain-Barré syndrome in two downtown Los Angeles community teaching hospitals. Clin Case Rep. 2020; 8: 2245–50.
  3. Rathi R, Harjpal P. Rehabilitation of a 51-year-old patient with Miller Fisher syndrome: a case report. Cureus. 2024; 16: e56056.
  4. Merkx H, De Keyser J, Ebinger G. Miller Fisher syndrome associated with Mycoplasma pneumoniae infection: report of a case. Clin Neurol Neurosurg. 1994; 96: 96–99.
  5. Jacobs BC, Hazenberg MP, van Doorn PA, Endtz HP, van der Meché FG. Cross-reactive antibodies against gangliosides and Campylobacter jejuni lipopolysaccharides in patients with Guillain-Barré or Miller Fisher syndrome. J Infect Dis. 1997; 175: 729–33.
  6. Thatikonda N, Lerint A, Valaparla V, Patel C. Rapid resolution of delayed facial palsy in Miller Fisher syndrome with steroid therapy. J Med Cases. 2024; 15: 341–46.
  7. Inoue N, Ichimura H, Goto S, Hashimoto Y, Ushio Y. MR imaging findings of spinal posterior column involvement in a case of Miller Fisher syndrome. AJNR Am J Neuroradiol. 2004; 25: 645–48.
  8. Guan D, Shan Y, Zhang H. Plasma exchange as a therapy for Miller Fisher syndrome. Front Immunol. 2025; 16: 1460034.
  9. Mori M, Kuwabara S, Fukutake T, Yuki N, Hattori T. Intravenous immunoglobulin therapy for Miller Fisher syndrome. Neurology. 2007; 68: 1144–46.
  10. Willison HJ, Jacobs BC, van Doorn PA. Guillain-Barré syndrome. Lancet. 2016; 388: 717–27.
  11. Jacobs BC, O’Hanlon GM, Bullens RWM, Veitch J, Plomp JJ, Willison HJ. Immunoglobulins inhibit pathophysiological effects of anti-GQ1b-positive sera at motor nerve terminals through inhibition of antibody binding. Brain. 2003; 126: 2220–34.
  12. Truong J, Conley J, Ashurst J. Miller Fisher syndrome: a case report and review of the literature. Clin Pract Cases Emerg Med. 2020; 4: 653–55.
  13. Ayas ZÖ, Aras YG, Güngen BD. An unusual recurrence of Miller Fisher syndrome: three times in eight years. Noro Psikiyatr Ars. 2019; 57: 78–79.

MedDocs Publishers

We always work towards offering the best to you. For any queries, please feel free to get in touch with us. Also you may post your valuable feedback after reading our journals, ebooks and after visiting our conferences.